星空online(中国)网7月7日电(通讯员 王家兴)近日,星空体育“碳中和与能源智联”国际大科学计划培育项目团队及合作者研究探讨了煤电容量控制和可再生能源扩张对中国净零排放战略的综合影响。研究构建了基于全球变化评估模型(GCAM)和电力系统优化模型的耦合分析框架,从社会经济层面量化了实施严格的煤电容量控制和加速可再生能源部署的减排潜力,同时在电力系统运行层面识别并量化了单独实施控煤政策对电力系统充足性的潜在风险。通过剖析四种非净零排放情景及其相对应的净零情景之间的关键转型差异,研究提出相应的转型建议,旨在为中国能源系统净零排放转型的平稳过渡提供有效参考。
相比传统基于单一综合评估模型的研究,如何在宏观能源经济层面探讨转型路径的同时兼顾电力系统的运行特性,是捕捉能源转型路径中煤电与可再生能源发电相互作用关系,提升研究精细度、系统性与全面性的迫切需要。基于此,该研究旨在量化将严格的煤电容量控制和低成本可再生能源纳入中国净零排放战略的宏微观系统转型影响,通过将技术丰富的综合评估模型GCAM进行中国本地化校准后与小时级电力系统优化模型相耦合,克服了传统综合评估模型对电力系统运行细节刻画欠缺的不足,为中国能源系统的平稳转型提供参考。

图1.不同情景下的排放路径和碳价变化情况
研究结果表明,基准情景下中国的净零排放能源转型(BAU_CN情景)可实现约148 Gt CO2减排(2020-2060年),覆盖未来1.5℃目标下的全球约37%的碳预算。这些减排主要通过碳价格的动态变化实现在各部门间碳减排的平衡。除碳价调控外,实施更严格的煤电容量控制和加速降低可再生能源成本都有利于进一步降低碳排放。如图1所示,实施更严格的煤电容量控制(SPs_CN情景)将在短期内产生显著的减排效果,并可额外降低约27 Gt的CO2排放;降低可再生能源成本(REs_CN情景)则更有利于对化石燃料的替代,从而促进长期减排,最终可额外降低约38 Gt的CO2排放。若同时考虑两项减排措施(RESP_CN情景),累计减排效益可提升至196 Gt,覆盖未来全球碳预算的约49%。

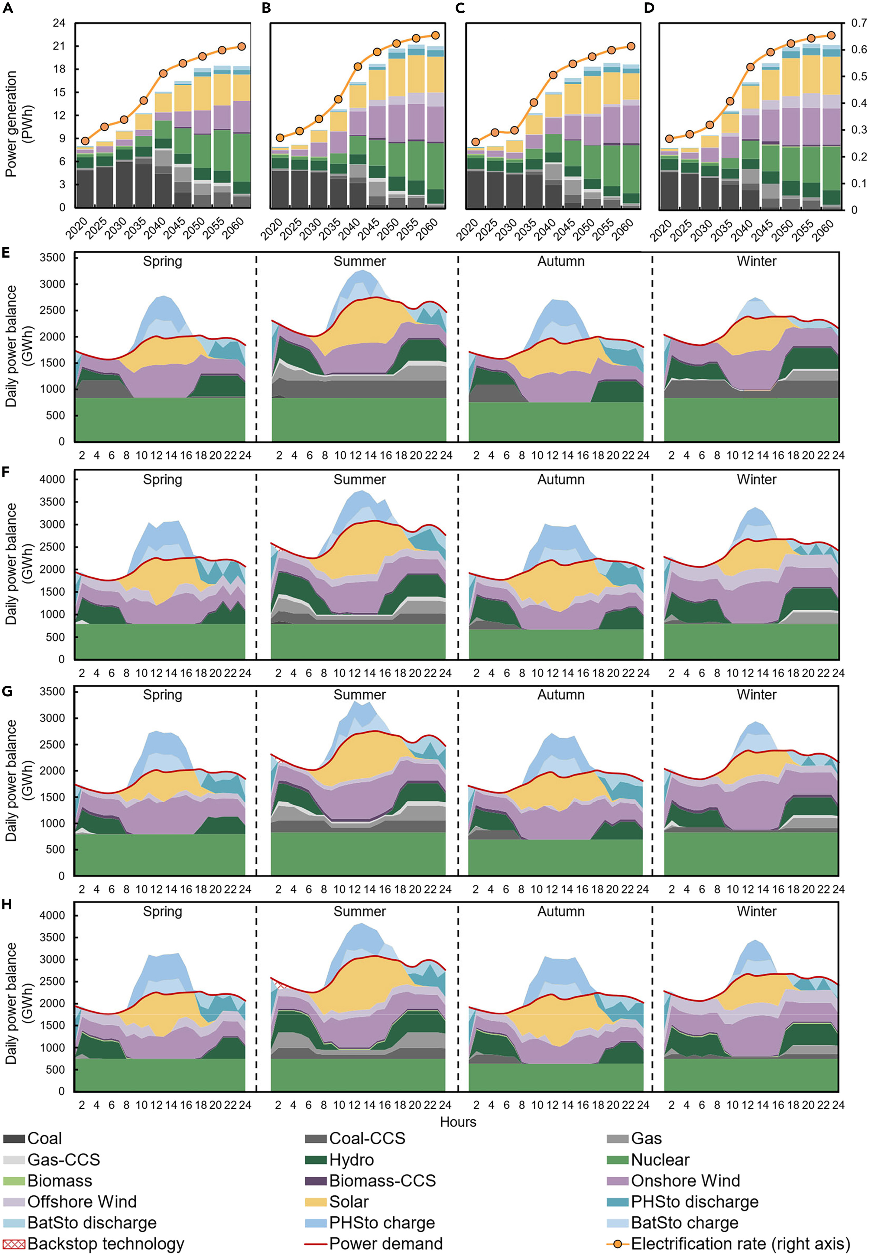
图2.不同净零排放情景下的电力组合、电力化率和小时级电力供需平衡
限制煤电投资(SPs_CN情景)虽显著加速了煤电在电力结构中占比的下降,但也导致2025年及2030年的总电力产出分别减少约5.7%和11.1%(图2),并减缓了终端能源的电气化进程。电气化的放缓反而促进了终端领域直接燃煤使用的增长。与BAU_CN和REs_CN情景的电气化水平(分别达到33.4%和33.9%)相比,SPs_CN情景下2030年的终端电气化率仅为29.6%。与此同时,尽管该情景禁止新建煤电项目,但面对2030-2035年电力需求的快速增长,现有煤电厂仍需保持稳定运行。
通过耦合小时级的电力系统优化模型,该研究进一步从电力系统运行层面揭示了单独实施煤电容量控制策略的潜在风险。研究结果表明,随着中国净零排放路径进入后期阶段(2050年后),电力需求的持续增长将导致电力系统部署高成本的后备技术(如跨季节储能),以应对在高负荷的夏季典型日可能出现的系统减载风险。相比于BAU_CN和REs_CN情景,SPs_CN情景中电力系统由于同时缺少新煤电和低成本可再生能源,导致了系统稳定性和充足性的降低,因此对后备技术的需求将更为普遍。到2050年,SPs_CN情景中最高约270 GW(约占对应总负荷的约12%)的电力负荷需通过后备技术满足,且一天中最高七小时的时间需部署后备技术。在RESP_CN情景中,通过加速可再生能源部署,并配合储能技术,可以有效缓解由于煤电容量控制导致的系统充足性降低的风险,从而降低系统对高成本后备技术的需求。
研究开发了一个耦合分析框架,通过多路径分析探讨了加速可再生能源扩张和实施严格的煤电容量控制所带来的协同减排效益,从系统运行角度识别了过早且单一地实施煤电产能控制对未来电力系统带来的潜在风险与挑战,同时揭示出整合低成本可再生能源对于强化长期脱碳以及缓解电力系统充足性风险的重要性。
相关研究成果以“重新评估立即淘汰煤电的策略:中国净零排放战略下的煤电产能控制与加速可再生能源扩张的双重迫切需求”(Reassessing Immediate Coal Phase-Out: Dual Imperatives of Capacity Control and Renewables Expansion in China’s Net-zero Strategy)为题,于7月1日发表于细胞(Cell)出版社《联结》(Nexus)杂志。
星空体育环境学院2021级博士生王家兴为论文第一作者。星空体育环境学院、碳中和研究院教授鲁玺,中国矿业大学(北京)能源与矿业学院教授樊静丽和中国21世纪议程管理中心研究员张贤为论文共同通讯作者。
研究得到“碳中和与能源智联”国际大科学计划培育项目、国家自然科学基金、国家重点研发计划项目,以及鄂尔多斯-清华碳中和创新合作研究项目的支持。
论文链接:
https://doi.org/10.1016/j.ynexs.2025.100081
供稿:环境学院
编辑:李华山
审核:郭玲